Упражнение 28.8 ГДЗ Мерзляк 10 класс Углубленный уровень (Алгебра)
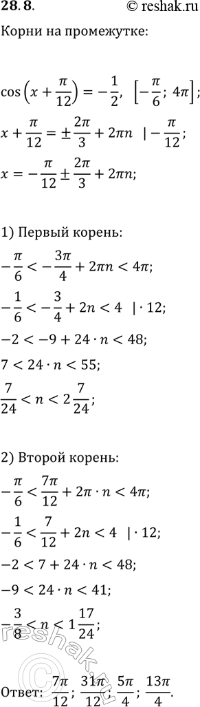
28.8. Найдите все корни уравнения cos(x+?/12)=-1/2, удовлетворяющие неравенству -?/6 *Цитирирование задания со ссылкой на учебник производится исключительно в учебных целях для лучшего понимания разбора решения задания.

Ниже вариант решения задания из учебника Мерзляк, Номировский, Поляков 10 класс, Просвещение:
28.8. Найдите все корни уравнения cos(x+?/12)=-1/2, удовлетворяющие неравенству -?/6
