Упражнение 28.5 ГДЗ Мерзляк 10 класс Углубленный уровень (Алгебра)
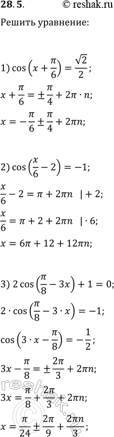
28.5. Решите уравнение: 1) cos(x+?/6)=v2/2; 2) cos(x/6-2)=-1; 3) 2cos(?/8-3x)+1=0. *Цитирирование задания со ссылкой на учебник производится исключительно в учебных целях для лучшего понимания разбора решения задания.

Ниже вариант решения задания из учебника Мерзляк, Номировский, Поляков 10 класс, Просвещение:
28.5. Решите уравнение:
1) cos(x+?/6)=v2/2;
2) cos(x/6-2)=-1;
3) 2cos(?/8-3x)+1=0.
