Упражнение 28.6 ГДЗ Мерзляк 10 класс Углубленный уровень (Алгебра)
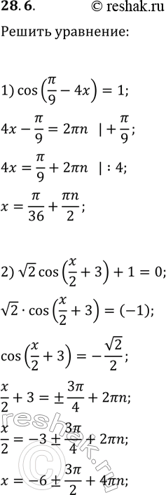
28.6. Решите уравнение: 1) cos(?/9-4x)=1; 2) v2cos(x/2+3)+1=0. *Цитирирование задания со ссылкой на учебник производится исключительно в учебных целях для лучшего понимания разбора решения задания.

Ниже вариант решения задания из учебника Мерзляк, Номировский, Поляков 10 класс, Просвещение:
28.6. Решите уравнение:
1) cos(?/9-4x)=1;
2) v2cos(x/2+3)+1=0.
