Упражнение 30.1 ГДЗ Мерзляк 10 класс Углубленный уровень (Алгебра)
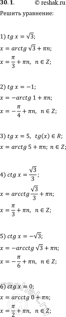
30.1. Решите уравнение: 1) tg(x)=v3; 3) tg(x)=5; 5) ctg(x)=-v3; 2) tg(x)=-1; 4) ctg(x)=v3/3; 6) ctg(x)=0. *Цитирирование задания со ссылкой на учебник производится исключительно в учебных целях для лучшего понимания разбора решения задания.

Ниже вариант решения задания из учебника Мерзляк, Номировский, Поляков 10 класс, Просвещение:
30.1. Решите уравнение:
1) tg(x)=v3; 3) tg(x)=5; 5) ctg(x)=-v3;
2) tg(x)=-1; 4) ctg(x)=v3/3; 6) ctg(x)=0.
