Упражнение 30.5 ГДЗ Мерзляк 10 класс Углубленный уровень (Алгебра)
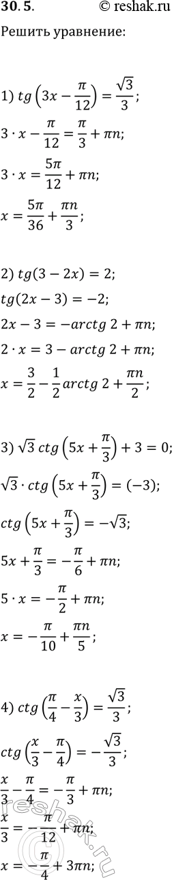
30.5. Решите уравнение: 1) tg(3x-?/12)=v3/3; 3) v3ctg(5x+?/3)+3=0; 2) tg(3-2x)=2; 4) ctg(?/4-x/3)=v3/3. *Цитирирование задания со ссылкой на учебник производится исключительно в учебных целях для лучшего понимания разбора решения задания.

Ниже вариант решения задания из учебника Мерзляк, Номировский, Поляков 10 класс, Просвещение:
30.5. Решите уравнение:
1) tg(3x-?/12)=v3/3; 3) v3ctg(5x+?/3)+3=0;
2) tg(3-2x)=2; 4) ctg(?/4-x/3)=v3/3.
