Упражнение 30.6 ГДЗ Мерзляк 10 класс Углубленный уровень (Алгебра)
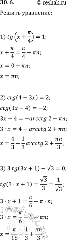
30.6. Решите уравнение: 1) tg(x+?/4)=1; 2) ctg(4-3x)=2; 3) 3tg(3x+1)-v3=0. *Цитирирование задания со ссылкой на учебник производится исключительно в учебных целях для лучшего понимания разбора решения задания.

Ниже вариант решения задания из учебника Мерзляк, Номировский, Поляков 10 класс, Просвещение:
30.6. Решите уравнение:
1) tg(x+?/4)=1; 2) ctg(4-3x)=2; 3) 3tg(3x+1)-v3=0.
