Упражнение 30.2 ГДЗ Мерзляк 10 класс Углубленный уровень (Алгебра)
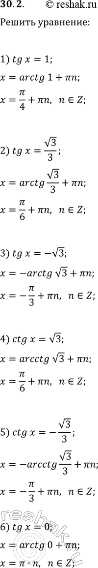
30.2. Решите уравнение: 1) tg(x)=1; 3) tg(x)=-v3; 5) ctg(x)=-v3/3; 2) tg(x)=v3/3; 4) ctg(x)=v3; 6) tg(x)=0. *Цитирирование задания со ссылкой на учебник производится исключительно в учебных целях для лучшего понимания разбора решения задания.

Ниже вариант решения задания из учебника Мерзляк, Номировский, Поляков 10 класс, Просвещение:
30.2. Решите уравнение:
1) tg(x)=1; 3) tg(x)=-v3; 5) ctg(x)=-v3/3;
2) tg(x)=v3/3; 4) ctg(x)=v3; 6) tg(x)=0.
