Упражнение 30.4 ГДЗ Мерзляк 10 класс Углубленный уровень (Алгебра)
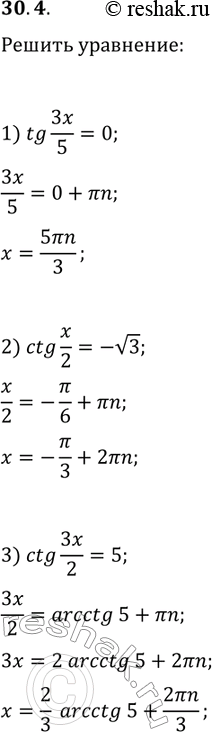
30.4. Решите уравнение: 1) tg(3/5 x)=0; 2) ctg(x/2)=-v3; 3) ctg(3/2 x)=5. *Цитирирование задания со ссылкой на учебник производится исключительно в учебных целях для лучшего понимания разбора решения задания.

Ниже вариант решения задания из учебника Мерзляк, Номировский, Поляков 10 класс, Просвещение:
30.4. Решите уравнение:
1) tg(3/5 x)=0; 2) ctg(x/2)=-v3; 3) ctg(3/2 x)=5.
