Упражнение 30.3 ГДЗ Мерзляк 10 класс Углубленный уровень (Алгебра)
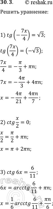
30.3. Решите уравнение: 1) tg(-7x/4)=v3; 2) ctg(x/2)=0; 3) ctg(6x)=6/11. *Цитирирование задания со ссылкой на учебник производится исключительно в учебных целях для лучшего понимания разбора решения задания.

Ниже вариант решения задания из учебника Мерзляк, Номировский, Поляков 10 класс, Просвещение:
30.3. Решите уравнение:
1) tg(-7x/4)=v3; 2) ctg(x/2)=0; 3) ctg(6x)=6/11.
