Упражнение 30.11 ГДЗ Мерзляк 10 класс Углубленный уровень (Алгебра)
30.11. При каких значениях параметра a уравнение (x+a)(tg(x)-v3)=0 на промежутке (0; ?/2] имеет единственный корень? *Цитирирование задания со ссылкой на учебник производится исключительно в учебных целях для лучшего понимания разбора решения задания.
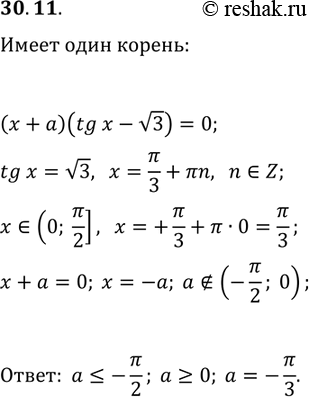
![Решение задачи: 30.11. При каких значениях параметра a уравнение (x+a)(tg(x)-v3)=0 на промежутке (0; ?/2] имеет единственный корень? *Цитирирование задания со ссылкой на учебник производится исключительно в учебных целях для лучшего понимания разбора решения задания.](solutions/algebra/10/635/1-30-11.png)
Ниже вариант решения задания из учебника Мерзляк, Номировский, Поляков 10 класс, Просвещение:
30.11. При каких значениях параметра a уравнение (x+a)(tg(x)-v3)=0 на промежутке (0; ?/2] имеет единственный корень?
