Упражнение 30.10 ГДЗ Мерзляк 10 класс Углубленный уровень (Алгебра)
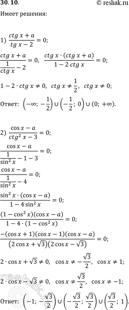
30.10. При каких значениях параметра а имеет решения уравнение: 1) (ctg(x)+a)/(tg(x)-2)=0; 2) (cos(x)-a)/(ctg^2(x)-3)=0? *Цитирирование задания со ссылкой на учебник производится исключительно в учебных целях для лучшего понимания разбора решения задания.

Ниже вариант решения задания из учебника Мерзляк, Номировский, Поляков 10 класс, Просвещение:
30.10. При каких значениях параметра а имеет решения уравнение:
1) (ctg(x)+a)/(tg(x)-2)=0; 2) (cos(x)-a)/(ctg^2(x)-3)=0?
