Упражнение 30.9 ГДЗ Мерзляк 10 класс Углубленный уровень (Алгебра)
30.9. При каких значениях параметра а имеет решения уравнение: 1) (tg(x)-a)/(ctg(x)+3)=0; 2) (sin(x)-a)/(3tg^2(x)-1)=0? *Цитирирование задания со ссылкой на учебник производится исключительно в учебных целях для лучшего понимания разбора решения задания.

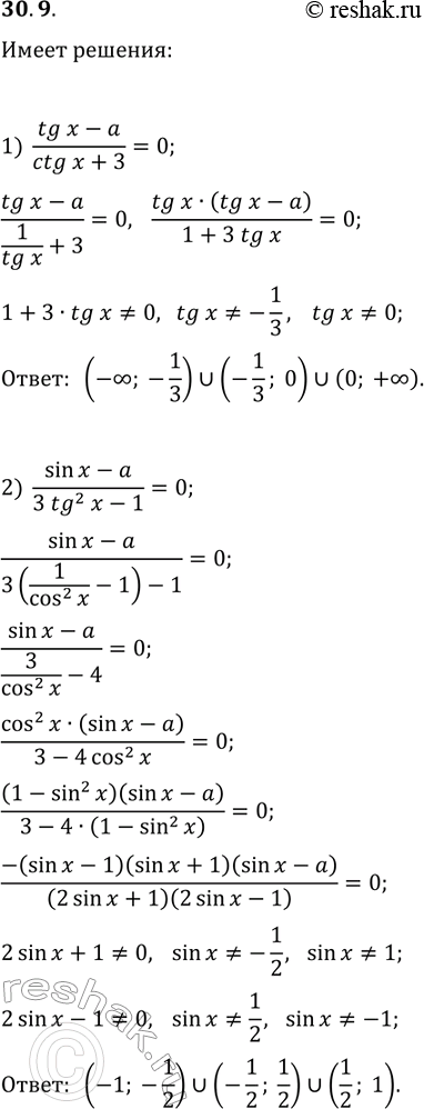
Ниже вариант решения задания из учебника Мерзляк, Номировский, Поляков 10 класс, Просвещение:
30.9. При каких значениях параметра а имеет решения уравнение:
1) (tg(x)-a)/(ctg(x)+3)=0; 2) (sin(x)-a)/(3tg^2(x)-1)=0?
