Упражнение 32.7 ГДЗ Мерзляк 10 класс Углубленный уровень (Алгебра)
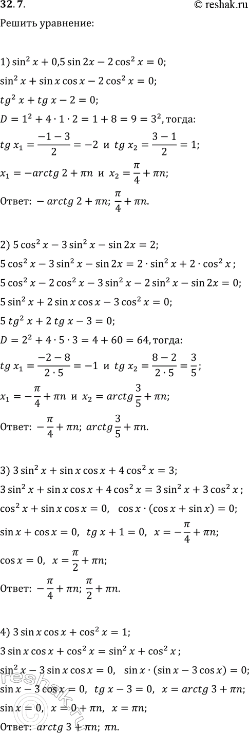
32.7. Решите уравнение: 1) sin^2(x)+0,5sin(2x)-2cos^2(x)=0; 2) 5cos^2(x)-3sin^2(x)-sin(2x)=2; 3) 3sin^2(x)+sin(x)cos(x)+4cos^2(x)=3; 4) 3sin(x)cos(x)+cos^2(x)=1. *Цитирирование задания со ссылкой на учебник производится исключительно в учебных целях для лучшего понимания разбора решения задания.

Ниже вариант решения задания из учебника Мерзляк, Номировский, Поляков 10 класс, Просвещение:
32.7. Решите уравнение:
1) sin^2(x)+0,5sin(2x)-2cos^2(x)=0;
2) 5cos^2(x)-3sin^2(x)-sin(2x)=2;
3) 3sin^2(x)+sin(x)cos(x)+4cos^2(x)=3;
4) 3sin(x)cos(x)+cos^2(x)=1.
