Упражнение 33.25 ГДЗ Мерзляк 10 класс Углубленный уровень (Алгебра)
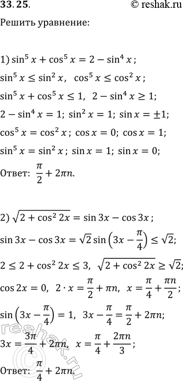
33.25. Решите уравнение: 1) sin^5(x)+cos^5(x)=2-sin^4(x); 2) v(2+cos^2(2x))=sin(3x)-cos(3x). *Цитирирование задания со ссылкой на учебник производится исключительно в учебных целях для лучшего понимания разбора решения задания.

Ниже вариант решения задания из учебника Мерзляк, Номировский, Поляков 10 класс, Просвещение:
33.25. Решите уравнение:
1) sin^5(x)+cos^5(x)=2-sin^4(x);
2) v(2+cos^2(2x))=sin(3x)-cos(3x).
