Упражнение 33.3 ГДЗ Мерзляк 10 класс Углубленный уровень (Алгебра)
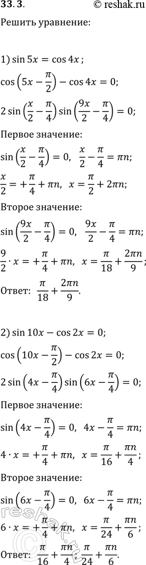
33.3. Решите уравнение: 1) sin(5x)=cos(4x); 2) sin(10x)-cos(2x)=0. *Цитирирование задания со ссылкой на учебник производится исключительно в учебных целях для лучшего понимания разбора решения задания.

Ниже вариант решения задания из учебника Мерзляк, Номировский, Поляков 10 класс, Просвещение:
33.3. Решите уравнение:
1) sin(5x)=cos(4x);
2) sin(10x)-cos(2x)=0.
