Упражнение 33.29 ГДЗ Мерзляк 10 класс Углубленный уровень (Алгебра)
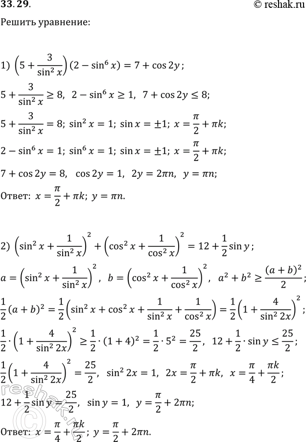
33.29. Решите уравнение: 1) (5+3/sin^2(x))(2-sin^6(x))=7+cos(2y); 2) (sin^2(x)+1/sin^2(x))^2+(cos^2(x)+1/cos^2(x))^2=12+1/2sin(y). *Цитирирование задания со ссылкой на учебник производится исключительно в учебных целях для лучшего понимания разбора решения задания.

Ниже вариант решения задания из учебника Мерзляк, Номировский, Поляков 10 класс, Просвещение:
33.29. Решите уравнение:
1) (5+3/sin^2(x))(2-sin^6(x))=7+cos(2y);
2) (sin^2(x)+1/sin^2(x))^2+(cos^2(x)+1/cos^2(x))^2=12+1/2sin(y).
