Упражнение 33.30 ГДЗ Мерзляк 10 класс Углубленный уровень (Алгебра)
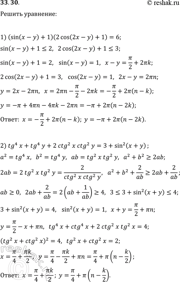
33.30. Решите уравнение: 1) (sin(x-y)+1)(2cos(2x-y)+1)=6; 2) tg^4(x)+tg^4(y)+2ctg^2(x)ctg^2(y)=3+sin^2(x+y). *Цитирирование задания со ссылкой на учебник производится исключительно в учебных целях для лучшего понимания разбора решения задания.

Ниже вариант решения задания из учебника Мерзляк, Номировский, Поляков 10 класс, Просвещение:
33.30. Решите уравнение:
1) (sin(x-y)+1)(2cos(2x-y)+1)=6;
2) tg^4(x)+tg^4(y)+2ctg^2(x)ctg^2(y)=3+sin^2(x+y).
