Упражнение 33.28 ГДЗ Мерзляк 10 класс Углубленный уровень (Алгебра)
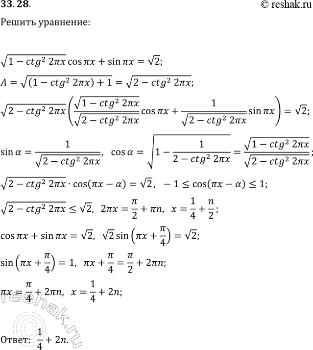
33.28. Решите уравнение v(1-ctg^2(2?x))cos(?x)+sin(?x)=v2. *Цитирирование задания со ссылкой на учебник производится исключительно в учебных целях для лучшего понимания разбора решения задания.

Ниже вариант решения задания из учебника Мерзляк, Номировский, Поляков 10 класс, Просвещение:
33.28. Решите уравнение v(1-ctg^2(2?x))cos(?x)+sin(?x)=v2.
