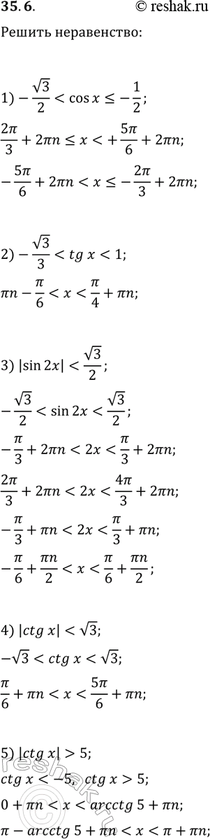
Упражнение 35.6 ГДЗ Мерзляк 10 класс Углубленный уровень (Алгебра)
35.6. Решите неравенство: 1) -v3/2 2) -v3/3 5. 3) |sin(2x)| *Цитирирование задания со ссылкой на учебник производится исключительно в учебных целях для лучшего понимания разбора решения задания.
Ниже вариант решения задания из учебника Мерзляк, Номировский, Поляков 10 класс, Просвещение:
35.6. Решите неравенство:
1) -v3/2
2) -v3/3 5.
3) |sin(2x)|

