Упражнение 38.10 ГДЗ Мерзляк 10 класс Углубленный уровень (Алгебра)
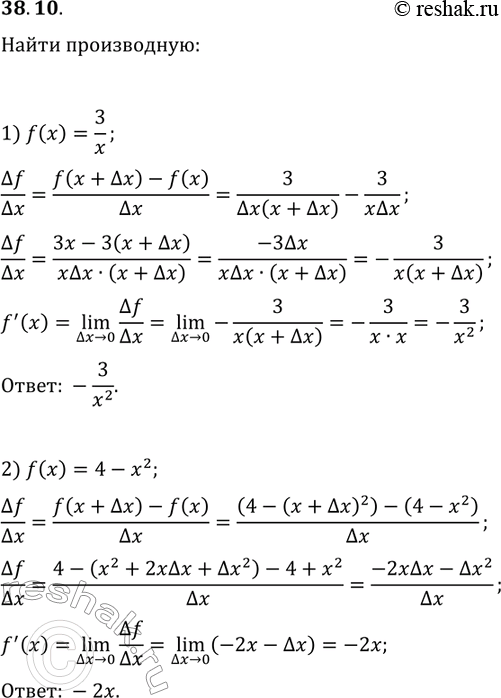
38.10. Пользуясь определением производной, найдите ftask(x), если: 1) f(x)=3/x; 2) f(x)=4-x^2. *Цитирирование задания со ссылкой на учебник производится исключительно в учебных целях для лучшего понимания разбора решения задания.

Ниже вариант решения задания из учебника Мерзляк, Номировский, Поляков 10 класс, Просвещение:
38.10. Пользуясь определением производной, найдите ftask(x), если:
1) f(x)=3/x; 2) f(x)=4-x^2.
