Упражнение 38.11 ГДЗ Мерзляк 10 класс Углубленный уровень (Алгебра)
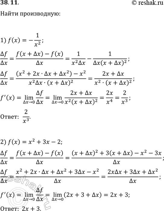
38.11. Пользуясь определением производной, найдите ftask(x), если: 1) f(x)=-1/x^2; 2) f(x)=x^2+3x-2. *Цитирирование задания со ссылкой на учебник производится исключительно в учебных целях для лучшего понимания разбора решения задания.

Ниже вариант решения задания из учебника Мерзляк, Номировский, Поляков 10 класс, Просвещение:
38.11. Пользуясь определением производной, найдите ftask(x), если:
1) f(x)=-1/x^2; 2) f(x)=x^2+3x-2.
