Упражнение 38.9 ГДЗ Мерзляк 10 класс Углубленный уровень (Алгебра)
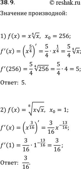
38.9. Вычислите значение производной функции f в точке x_0: 1) f(x)=x x^(1/4), x_0=256; 2) f(x)=(xvx)^(1/8), x_0=1. *Цитирирование задания со ссылкой на учебник производится исключительно в учебных целях для лучшего понимания разбора решения задания.

Ниже вариант решения задания из учебника Мерзляк, Номировский, Поляков 10 класс, Просвещение:
38.9. Вычислите значение производной функции f в точке x_0:
1) f(x)=x x^(1/4), x_0=256; 2) f(x)=(xvx)^(1/8), x_0=1.
