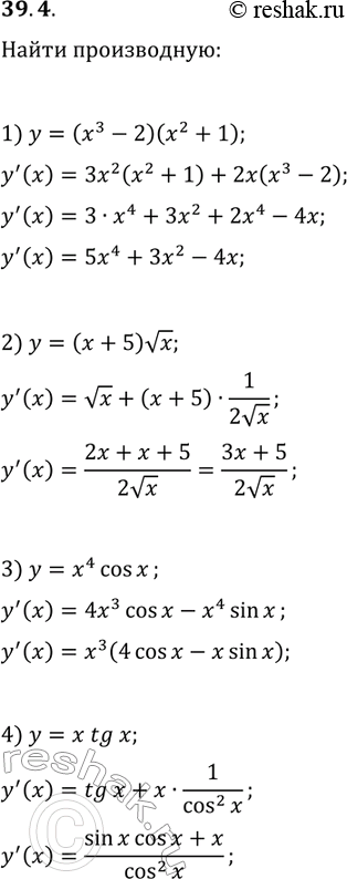
Упражнение 39.4 ГДЗ Мерзляк 10 класс Углубленный уровень (Алгебра)
39.4. Найдите производную функции: 1) y=(x^3-2)(x^2+1); 3) y=x^4 cos(x); 2) y=(x+5)vx; 4) y=x tg(x). *Цитирирование задания со ссылкой на учебник производится исключительно в учебных целях для лучшего понимания разбора решения задания.

Ниже вариант решения задания из учебника Мерзляк, Номировский, Поляков 10 класс, Просвещение:
39.4. Найдите производную функции:
1) y=(x^3-2)(x^2+1); 3) y=x^4 cos(x);
2) y=(x+5)vx; 4) y=x tg(x).
