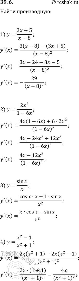
Упражнение 39.6 ГДЗ Мерзляк 10 класс Углубленный уровень (Алгебра)
39.6. Найдите производную функции: 1) y=(3x+5)/(x-8); 3) y=sin(x)/x; 2) y=2x^2/(1-6x); 4) y=(x^2-1)/(x^2+1). *Цитирирование задания со ссылкой на учебник производится исключительно в учебных целях для лучшего понимания разбора решения задания.

Ниже вариант решения задания из учебника Мерзляк, Номировский, Поляков 10 класс, Просвещение:
39.6. Найдите производную функции:
1) y=(3x+5)/(x-8); 3) y=sin(x)/x;
2) y=2x^2/(1-6x); 4) y=(x^2-1)/(x^2+1).
