Упражнение 39.5 ГДЗ Мерзляк 10 класс Углубленный уровень (Алгебра)
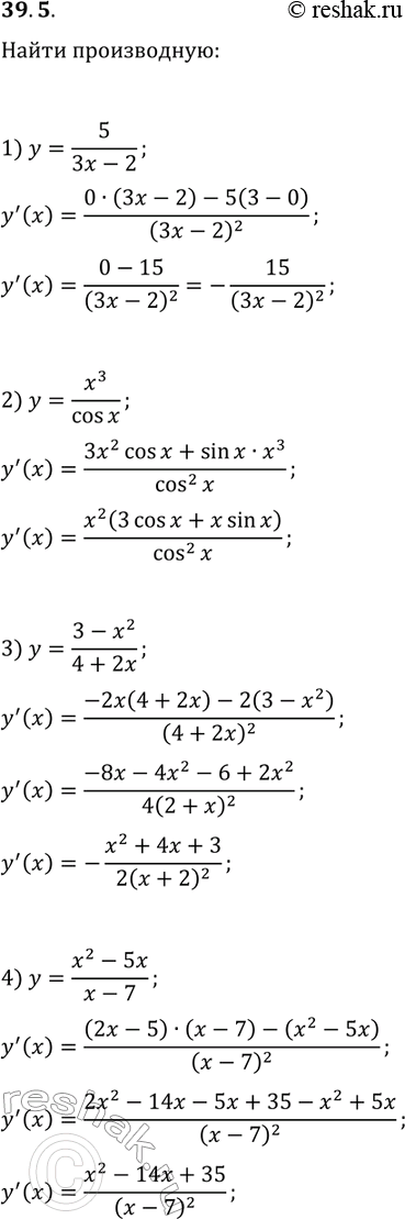
39.5. Найдите производную функции: 1) y=5/(3x-2); 3) y=(3-x^2)/(4+2x); 2) y=x^3/cos(x); 4) y=(x^2-5x)/(x-7). *Цитирирование задания со ссылкой на учебник производится исключительно в учебных целях для лучшего понимания разбора решения задания.

Ниже вариант решения задания из учебника Мерзляк, Номировский, Поляков 10 класс, Просвещение:
39.5. Найдите производную функции:
1) y=5/(3x-2); 3) y=(3-x^2)/(4+2x);
2) y=x^3/cos(x); 4) y=(x^2-5x)/(x-7).
