Упражнение 39.15 ГДЗ Мерзляк 10 класс Углубленный уровень (Алгебра)
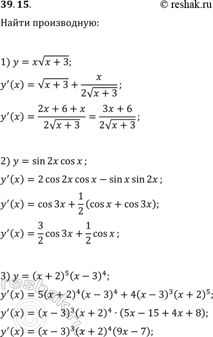
39.15. Найдите производную функции: 1) y=xv(x+3); 2) y=sin(2x)cos(x); 3) y=(x+2)^5 (x-3)^4. *Цитирирование задания со ссылкой на учебник производится исключительно в учебных целях для лучшего понимания разбора решения задания.

Ниже вариант решения задания из учебника Мерзляк, Номировский, Поляков 10 класс, Просвещение:
39.15. Найдите производную функции:
1) y=xv(x+3); 2) y=sin(2x)cos(x);
3) y=(x+2)^5 (x-3)^4.
