Упражнение 39.16 ГДЗ Мерзляк 10 класс Углубленный уровень (Алгебра)
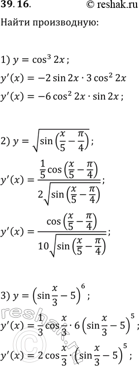
39.16. Найдите производную функции: 1) y=cos^3(2x); 2) y=vsin(x/5-?/4); 3) y=(sin(x/3)-5)^6. *Цитирирование задания со ссылкой на учебник производится исключительно в учебных целях для лучшего понимания разбора решения задания.

Ниже вариант решения задания из учебника Мерзляк, Номировский, Поляков 10 класс, Просвещение:
39.16. Найдите производную функции:
1) y=cos^3(2x); 2) y=vsin(x/5-?/4);
3) y=(sin(x/3)-5)^6.
