Упражнение 39.12 ГДЗ Мерзляк 10 класс Углубленный уровень (Алгебра)
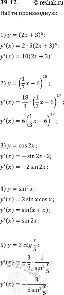
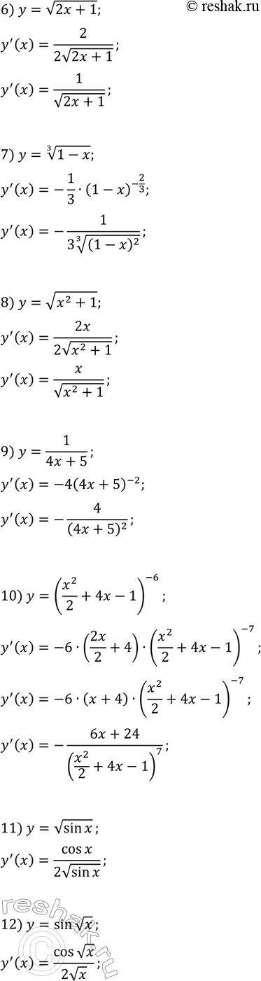
39.12. Найдите производную функции: 1) y=(2x+3)^5; 5) y=3ctg(x/5); 9) y=1/(4x+5); 2) y=(1/3 x-6)^18; 6) y=v(2x+1); 10) y=(x^2/2+4x-1)^(-6); 3) y=cos(2x); 7) y=(1-x)^(1/3);


Ниже вариант решения задания из учебника Мерзляк, Номировский, Поляков 10 класс, Просвещение:
39.12. Найдите производную функции:
1) y=(2x+3)^5; 5) y=3ctg(x/5); 9) y=1/(4x+5);
2) y=(1/3 x-6)^18; 6) y=v(2x+1); 10) y=(x^2/2+4x-1)^(-6);
3) y=cos(2x); 7) y=(1-x)^(1/3); 11) y=vsin(x);
4) y=sin^2(x); 8) y=v(x^2+1); 12) y=sin(vx).
