Упражнение 39.17 ГДЗ Мерзляк 10 класс Углубленный уровень (Алгебра)
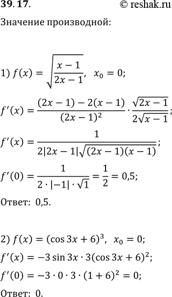
39.17. Вычислите: 1) ftask(0), если f(x)=в€љ((x-1)/(2x-1)); 2) ftask(0), если f(x)=(cos(3x)+6)^3. *Цитирирование задания со ссылкой на учебник производится исключительно в учебных целях для лучшего понимания разбора решения задания.

Ниже вариант решения задания из учебника Мерзляк, Номировский, Поляков 10 класс, Просвещение:
39.17. Вычислите:
1) ftask(0), если f(x)=√((x-1)/(2x-1));
2) ftask(0), если f(x)=(cos(3x)+6)^3.
