Упражнение 39.14 ГДЗ Мерзляк 10 класс Углубленный уровень (Алгебра)
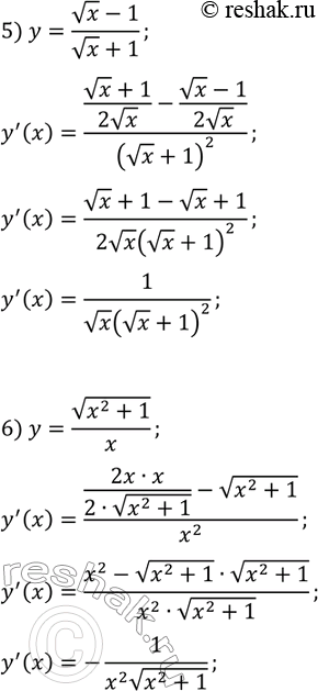
39.14. Найдите производную функции: 1) y=xv(2x+1); 3) y=tg(x)sin(2x+5); 5) y=(vx-1)/(vx+1); 2) y=sin(x)cos(2x); 4) y=cos(3x)/(x-1); 6) y=v(x^2+1)/x. *Цитирирование задания со ссылкой на учебник производится исключительно в учебных целях для лучшего понимания разбора решения задания.


Ниже вариант решения задания из учебника Мерзляк, Номировский, Поляков 10 класс, Просвещение:
39.14. Найдите производную функции:
1) y=xv(2x+1); 3) y=tg(x)sin(2x+5); 5) y=(vx-1)/(vx+1);
2) y=sin(x)cos(2x); 4) y=cos(3x)/(x-1); 6) y=v(x^2+1)/x.
