Упражнение 40.12 ГДЗ Мерзляк 10 класс Углубленный уровень (Алгебра)
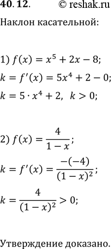
40.12. Докажите, что любая касательная к графику функции f образует острый угол с положительным направлением оси абсцисс: 1) f(x)=x^5+2x-8; 2) f(x)=4/(1-x).

Ниже вариант решения задания из учебника Мерзляк, Номировский, Поляков 10 класс, Просвещение:
40.12. Докажите, что любая касательная к графику функции f образует острый угол с положительным направлением оси абсцисс:
1) f(x)=x^5+2x-8; 2) f(x)=4/(1-x).
