Упражнение 40.14 ГДЗ Мерзляк 10 класс Углубленный уровень (Алгебра)
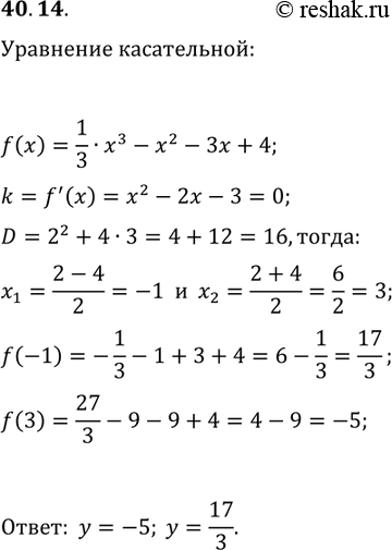
40.14. Найдите уравнения горизонтальных касательных к графику функции f(x)=1/3 x^3-x^2-3x+4. *Цитирирование задания со ссылкой на учебник производится исключительно в учебных целях для лучшего понимания разбора решения задания.

Ниже вариант решения задания из учебника Мерзляк, Номировский, Поляков 10 класс, Просвещение:
40.14. Найдите уравнения горизонтальных касательных к графику функции f(x)=1/3 x^3-x^2-3x+4.
