Упражнение 40.13 ГДЗ Мерзляк 10 класс Углубленный уровень (Алгебра)
40.13. Найдите уравнения горизонтальных касательных к графику функции: 1) f(x)=x^3-3x+1; 2) f(x)=1/2 x^4-4x^2+1. *Цитирирование задания со ссылкой на учебник производится исключительно в учебных целях для лучшего понимания разбора решения задания.

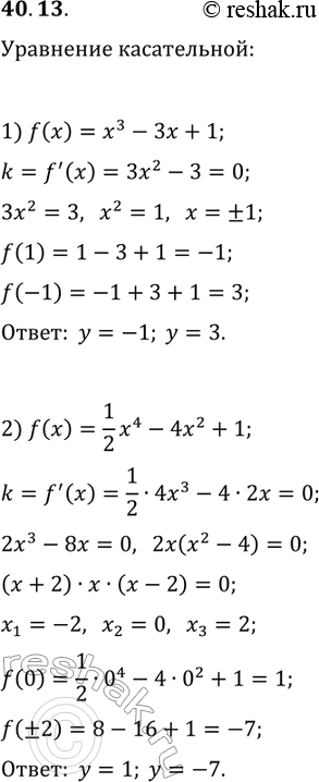
Ниже вариант решения задания из учебника Мерзляк, Номировский, Поляков 10 класс, Просвещение:
40.13. Найдите уравнения горизонтальных касательных к графику функции:
1) f(x)=x^3-3x+1; 2) f(x)=1/2 x^4-4x^2+1.
