Упражнение 40.15 ГДЗ Мерзляк 10 класс Углубленный уровень (Алгебра)
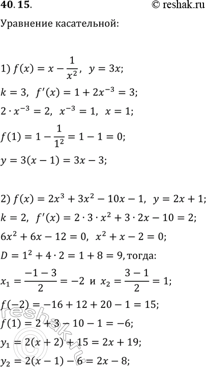
40.15. Составьте уравнение касательной к графику функции: 1) f(x)=x-1/x^2, если эта касательная параллельна прямой y=3x; 2) f(x)=2x^3+3x^2-10x-1, если эта касательная параллельна прямой y=2x+1.

Ниже вариант решения задания из учебника Мерзляк, Номировский, Поляков 10 класс, Просвещение:
40.15. Составьте уравнение касательной к графику функции:
1) f(x)=x-1/x^2, если эта касательная параллельна прямой y=3x;
2) f(x)=2x^3+3x^2-10x-1, если эта касательная параллельна прямой y=2x+1.
