Упражнение 40.2 ГДЗ Мерзляк 10 класс Углубленный уровень (Алгебра)
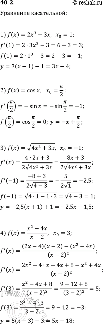
40.2. Составьте уравнение касательной к графику функции f в точке с абсциссой x_0, если: 1) f(x)=2x^3-3x, x_0=1; 3) f(x)=v(4x^2+3x), x_0=-1; 2) f(x)=cos(x), x_0=?/2;

Ниже вариант решения задания из учебника Мерзляк, Номировский, Поляков 10 класс, Просвещение:
40.2. Составьте уравнение касательной к графику функции f в точке с абсциссой x_0, если:
1) f(x)=2x^3-3x, x_0=1; 3) f(x)=v(4x^2+3x), x_0=-1;
2) f(x)=cos(x), x_0=?/2; 4) f(x)=(x^2-4x)/(x-2), x_0=3.
