Упражнение 40.4 ГДЗ Мерзляк 10 класс Углубленный уровень (Алгебра)
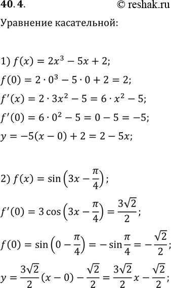
40.4. Запишите уравнение касательной к графику данной функции в точке его пересечения с осью ординат: 1) f(x)=2x^3-5x+2; 2) f(x)=sin(3x-?/4). *Цитирирование задания со ссылкой на учебник производится исключительно в учебных целях для лучшего понимания разбора решения задания.

Ниже вариант решения задания из учебника Мерзляк, Номировский, Поляков 10 класс, Просвещение:
40.4. Запишите уравнение касательной к графику данной функции в точке его пересечения с осью ординат:
1) f(x)=2x^3-5x+2; 2) f(x)=sin(3x-?/4).
