Упражнение 40.6 ГДЗ Мерзляк 10 класс Углубленный уровень (Алгебра)
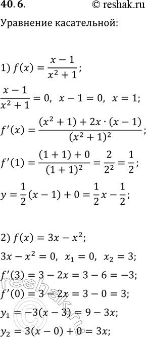
40.6. Составьте уравнение касательной к графику функции f в точке его пересечения с осью абсцисс: 1) f(x)=(x-1)/(x^2+1); 2) f(x)=3x-x^2. *Цитирирование задания со ссылкой на учебник производится исключительно в учебных целях для лучшего понимания разбора решения задания.

Ниже вариант решения задания из учебника Мерзляк, Номировский, Поляков 10 класс, Просвещение:
40.6. Составьте уравнение касательной к графику функции f в точке его пересечения с осью абсцисс:
1) f(x)=(x-1)/(x^2+1); 2) f(x)=3x-x^2.
