Упражнение 40.3 ГДЗ Мерзляк 10 класс Углубленный уровень (Алгебра)
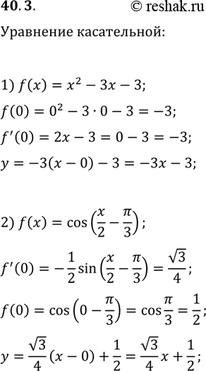
40.3. Запишите уравнение касательной к графику данной функции в точке его пересечения с осью ординат: 1) f(x)=x^2-3x-3; f(x)=cos(x/2-?/3). *Цитирирование задания со ссылкой на учебник производится исключительно в учебных целях для лучшего понимания разбора решения задания.

Ниже вариант решения задания из учебника Мерзляк, Номировский, Поляков 10 класс, Просвещение:
40.3. Запишите уравнение касательной к графику данной функции в точке его пересечения с осью ординат:
1) f(x)=x^2-3x-3; f(x)=cos(x/2-?/3).
