Упражнение 40.8 ГДЗ Мерзляк 10 класс Углубленный уровень (Алгебра)
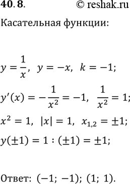
40.8. В каких точках касательные к графику функции y=1/x параллельны прямой y=-x? *Цитирирование задания со ссылкой на учебник производится исключительно в учебных целях для лучшего понимания разбора решения задания.

Ниже вариант решения задания из учебника Мерзляк, Номировский, Поляков 10 класс, Просвещение:
40.8. В каких точках касательные к графику функции y=1/x параллельны прямой y=-x?
