Упражнение 42.27 ГДЗ Мерзляк 10 класс Углубленный уровень (Алгебра)
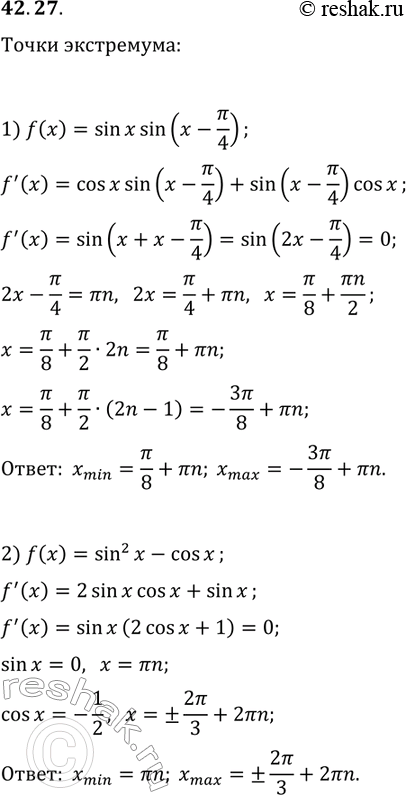
42.27. Найдите точки минимума и максимума функции: 1) f(x)=sin(x)sin(x-?/4); 2) f(x)=sin^2(x)-cos(x). *Цитирирование задания со ссылкой на учебник производится исключительно в учебных целях для лучшего понимания разбора решения задания.

Ниже вариант решения задания из учебника Мерзляк, Номировский, Поляков 10 класс, Просвещение:
42.27. Найдите точки минимума и максимума функции:
1) f(x)=sin(x)sin(x-?/4); 2) f(x)=sin^2(x)-cos(x).
