Упражнение 42.28 ГДЗ Мерзляк 10 класс Углубленный уровень (Алгебра)
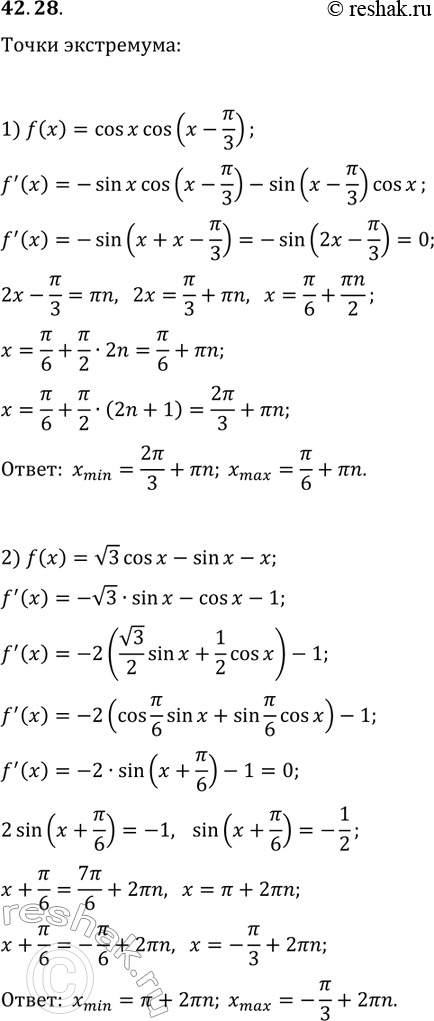
42.28. Найдите точки минимума и максимума функции: 1) f(x)=cos(x)cos(x-?/3); 2) f(x)=v3cos(x)-sin(x)-x. *Цитирирование задания со ссылкой на учебник производится исключительно в учебных целях для лучшего понимания разбора решения задания.

Ниже вариант решения задания из учебника Мерзляк, Номировский, Поляков 10 класс, Просвещение:
42.28. Найдите точки минимума и максимума функции:
1) f(x)=cos(x)cos(x-?/3); 2) f(x)=v3cos(x)-sin(x)-x.
