Упражнение 42.29 ГДЗ Мерзляк 10 класс Углубленный уровень (Алгебра)
42.29. При каких значениях параметра а функция y=x^3/3-(3a+1)/2 x^2+(2a^2+2a)x-17 имеет положительную точку минимума? *Цитирирование задания со ссылкой на учебник производится исключительно в учебных целях для лучшего понимания разбора решения задания.

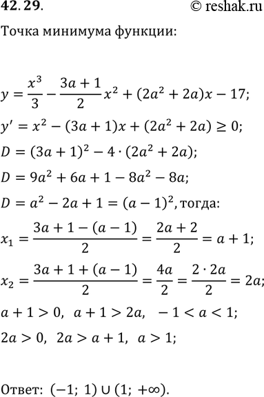
Ниже вариант решения задания из учебника Мерзляк, Номировский, Поляков 10 класс, Просвещение:
42.29. При каких значениях параметра а функция y=x^3/3-(3a+1)/2 x^2+(2a^2+2a)x-17 имеет положительную точку минимума?
