Упражнение 42.31 ГДЗ Мерзляк 10 класс Углубленный уровень (Алгебра)
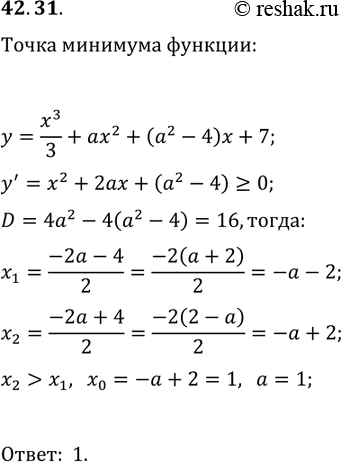
42.31. При каких значениях параметра а точка x_0=1 является точкой минимума функции y=x^3/3+ax^2+(a^2-4)x+7? *Цитирирование задания со ссылкой на учебник производится исключительно в учебных целях для лучшего понимания разбора решения задания.

Ниже вариант решения задания из учебника Мерзляк, Номировский, Поляков 10 класс, Просвещение:
42.31. При каких значениях параметра а точка x_0=1 является точкой минимума функции y=x^3/3+ax^2+(a^2-4)x+7?
