Упражнение 42.32 ГДЗ Мерзляк 10 класс Углубленный уровень (Алгебра)
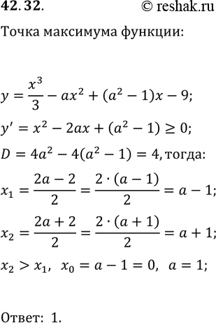
42.32. При каких значениях параметра а точка x_0=0 является точкой максимума функции y=x^3/3-ax^2+(a^2-1)x-9? *Цитирирование задания со ссылкой на учебник производится исключительно в учебных целях для лучшего понимания разбора решения задания.

Ниже вариант решения задания из учебника Мерзляк, Номировский, Поляков 10 класс, Просвещение:
42.32. При каких значениях параметра а точка x_0=0 является точкой максимума функции y=x^3/3-ax^2+(a^2-1)x-9?
