Упражнение 42.30 ГДЗ Мерзляк 10 класс Углубленный уровень (Алгебра)
42.30. При каких значениях параметра a функция y=x^3/3-(3a-1)/2 x^2+(2a^2-a)x+19 имеет положительную точку минимума? *Цитирирование задания со ссылкой на учебник производится исключительно в учебных целях для лучшего понимания разбора решения задания.

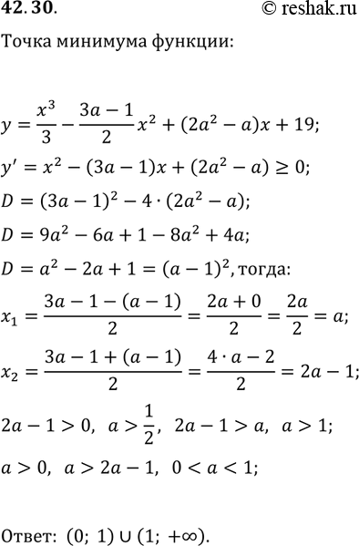
Ниже вариант решения задания из учебника Мерзляк, Номировский, Поляков 10 класс, Просвещение:
42.30. При каких значениях параметра a функция y=x^3/3-(3a-1)/2 x^2+(2a^2-a)x+19 имеет положительную точку минимума?
