Упражнение 42.33 ГДЗ Мерзляк 10 класс Углубленный уровень (Алгебра)
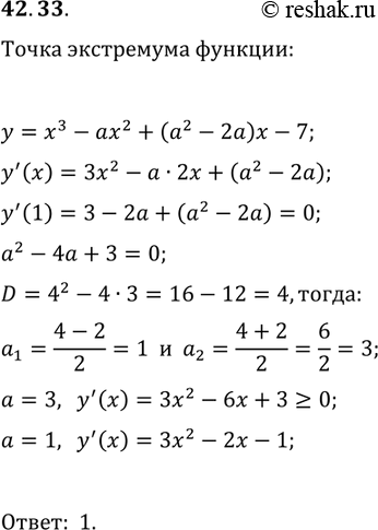
42.33. При каких значениях параметра а точка x_0=1 является точкой экстремума функции y=x^3-ax^2+(a^2-2a)x-7? *Цитирирование задания со ссылкой на учебник производится исключительно в учебных целях для лучшего понимания разбора решения задания.

Ниже вариант решения задания из учебника Мерзляк, Номировский, Поляков 10 класс, Просвещение:
42.33. При каких значениях параметра а точка x_0=1 является точкой экстремума функции y=x^3-ax^2+(a^2-2a)x-7?
