Упражнение 42.34 ГДЗ Мерзляк 10 класс Углубленный уровень (Алгебра)
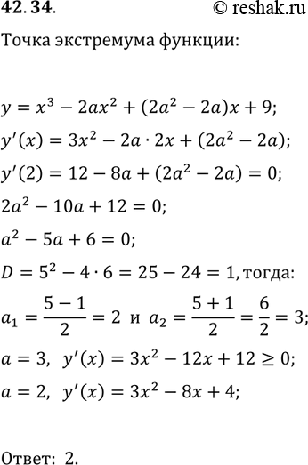
42.34. При каких значениях параметра а точка x_0=2 является точкой экстремума функции y=x^3-2ax^2+(2a^2-2a)x+9? *Цитирирование задания со ссылкой на учебник производится исключительно в учебных целях для лучшего понимания разбора решения задания.

Ниже вариант решения задания из учебника Мерзляк, Номировский, Поляков 10 класс, Просвещение:
42.34. При каких значениях параметра а точка x_0=2 является точкой экстремума функции y=x^3-2ax^2+(2a^2-2a)x+9?
