Упражнение 5.9 ГДЗ Мерзляк 10 класс Углубленный уровень (Алгебра)
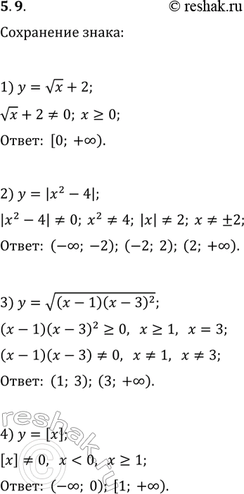
5.9. Найдите промежутки знакопостоянства функции: 1) y=vx+2; 3) y=v((x-1)(x-3)^2); 2) y=|x^2-4|; 4) y=[x]. *Цитирирование задания со ссылкой на учебник производится исключительно в учебных целях для лучшего понимания разбора решения задания.
![Решение задачи: 5.9. Найдите промежутки знакопостоянства функции: 1) y=vx+2; 3) y=v((x-1)(x-3)^2); 2) y=|x^2-4|; 4) y=[x]. *Цитирирование задания со ссылкой на учебник производится исключительно в учебных целях для лучшего понимания разбора решения задания.](solutions/algebra/10/635/1-5-9.png)
Ниже вариант решения задания из учебника Мерзляк, Номировский, Поляков 10 класс, Просвещение:
5.9. Найдите промежутки знакопостоянства функции:
1) y=vx+2; 3) y=v((x-1)(x-3)^2);
2) y=|x^2-4|; 4) y=[x].
