Упражнение 5.8 ГДЗ Мерзляк 10 класс Углубленный уровень (Алгебра)
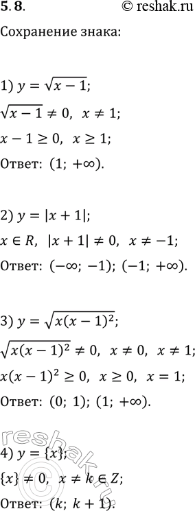
5.8. Найдите промежутки знакопостоянства функции: 1) y=v(x-1); 3) y=v(x(x-1)^2); 2) y=|x+1|; 4) y={x}. *Цитирирование задания со ссылкой на учебник производится исключительно в учебных целях для лучшего понимания разбора решения задания.

Ниже вариант решения задания из учебника Мерзляк, Номировский, Поляков 10 класс, Просвещение:
5.8. Найдите промежутки знакопостоянства функции:
1) y=v(x-1); 3) y=v(x(x-1)^2);
2) y=|x+1|; 4) y={x}.
