Упражнение 50.14 ГДЗ Мерзляк 10 класс Углубленный уровень (Алгебра)
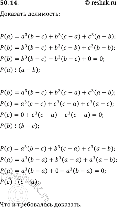
50.14. Докажите, что выражение a^3(b-c)+b^3(c-a)+c^3(a-b) делится нацело на выражение (a-b)(b-c)(c-a). *Цитирирование задания со ссылкой на учебник производится исключительно в учебных целях для лучшего понимания разбора решения задания.

Ниже вариант решения задания из учебника Мерзляк, Номировский, Поляков 10 класс, Просвещение:
50.14. Докажите, что выражение a^3(b-c)+b^3(c-a)+c^3(a-b) делится нацело на выражение (a-b)(b-c)(c-a).
